About Classcue AI
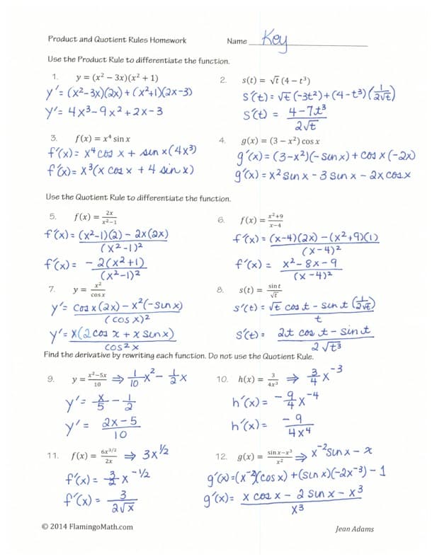
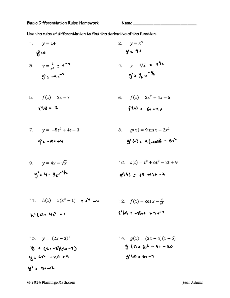
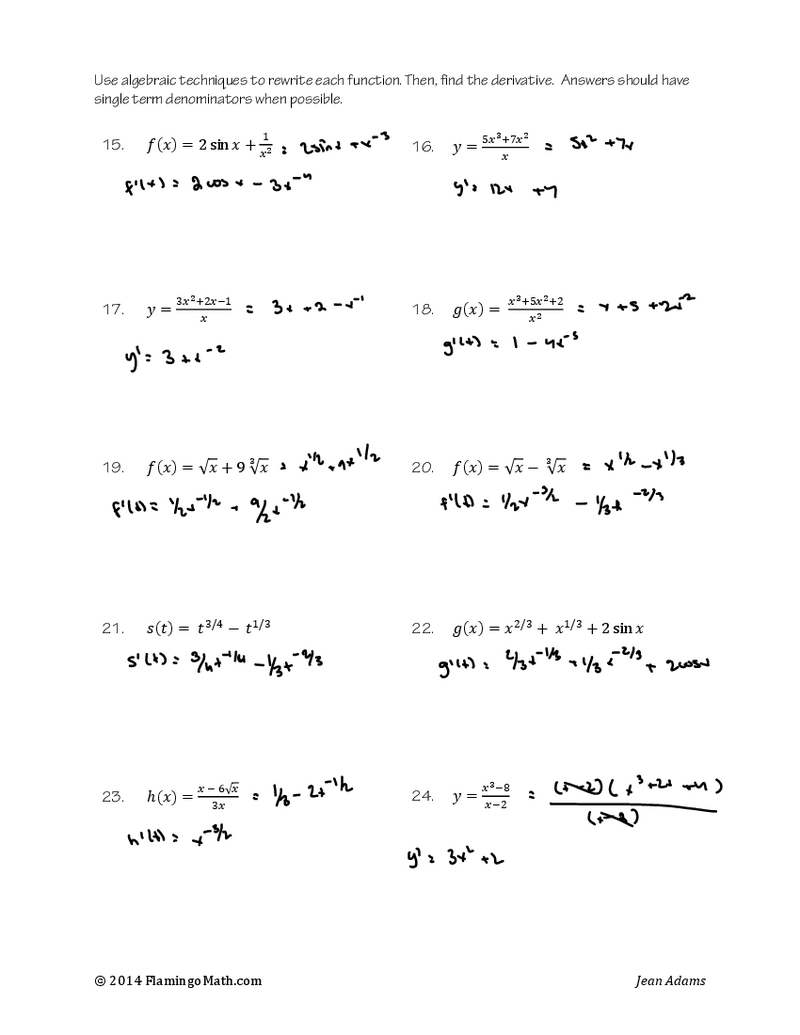
A state-of-the-art application that uses OpenAI and ChatGPT models to assist teachers in grading assignments. The platform allows teachers to create an exam paper, after which students upload their handwritten assignments through a shared link. The AI analyzes each submission and generates a concise summary of the student’s work, including how many questions were answered correctly. In addition, the system produces a comprehensive class-level report, highlighting which questions most students struggled with and which sections were answered correctly by everyone. This helps teachers quickly identify learning gaps and overall class performance.
Tech stack and deliverables
MERN-stack, ChatGPT, AI
Features
1. Features available on the app





